 |
Wählen Sie das richtige Leuchtmittel Früher klassifizierte man eine Glühlampe oder eine Leuchtstoffröhre nach ihrem Stromverbrauch (Watt). Inzwischen ist es jedoch sehr schwierig, die verschiedenen Leuchtmittel so gegenüberzustellen, weil Glühlampen, Leuchtstoffröhren und LEDs in diesem Punkt nicht direkt miteinander vergleichbar sind. Stattdessen sollte man auf der Verpackung nach der Lumen-Angabe für das Leuchtmittel suchen. Die Einheit Lumen gibt nämlich an,wie viel Lichtein bestimmtes Leuchtmittel abgibt und nicht, wie viel Energie es produziert. Der Wert steht auf allen Verpackungen für Leuchtstoffröhren, Glühlampen, LEDs usw.
Um die Sache zu vereinfachen, geben wir hier an, wie viel Lumen wir pro Liter Aquariumwasser für die Pflanzenkategorien Easy, Medium oder Advanced empfehlen.
(20 Lumen entsprechen 0,5 Watt T5 Leuchtstoffröhre per Liter, 40 lumen entsprechen ungefähr 1 Watt T5/Liter.)
|
|



|
Wie viel Licht ist ausreichend?
Das kommt ganz darauf an, welche Pflanzen Sie für Ihr Aquarium gewählt haben. Wenn Sie ausschließlich „Easy”-Pflanzen besitzen, reichen 10-20 Lumen (0,25 bis 0,5 Watt) pro Liter aus. Für „Medium“-Pflanzen empfehlen wir 20-40 Lumen (0,5 bis 1 Watt) pro Liter, während „Advanced“-Pflanzen mehr als 40 Lumen (1 Watt) pro Liter benötigen.
Die Fotoserie zeigt dasselbe Aquarium (54-Liter-Starterset) mit A) einer Standard-T8-Leuchtstoffröhre von 15 Watt, B) einer T5-Leuchtstoffröhre von 24 Watt sowie C) zwei T5-Leuchtstoffröhren à 24 Watt, um zu demonstrieren, wie viel mehr Licht die T5-Lampe im Gegensatz zur T8-Lampe abgibt und wie groß der Unterschied zwischen ein und zwei Leuchtstoffröhren ist.
Eine einfache und kostengünstige Maßnahme zur optimalen Ausnutzung des Lichts ist der Einsatz eines guten Reflektors. Außerdem sollten Sie dafür sorgen, dass die Temperatur in der Leuchte vor allem im Sommer nicht zu hoch wird.
Unsere Empfehlungen für Lumen/Watt pro Liter basieren auf langjährigen Erfahrungen mit T5-Leuchtstoffröhren.
|
 |
Die Tabelle zeigt die Lichtabgabe (in Lumen) einer 15 Watt starken T8-Leuchtstoffröhre in einem Starterset im Vergleich zu Sonnenlicht und typischer Wohnzimmerbeleuchtung.
Im Aquarium sind die Lichtverhältnisse besser als im Wohnzimmer, aber wesentlich schlechter als unter den natürlichen Wachstumsbedingungen der Pflanzen.
|
 |
Reflektoren - Denken Sie daran, für Ihre Leuchte Reflektoren zu verwenden, um das Licht bis zu viermal besser ausnutzen zu können!
Viele billige Startersets werden mit einer Standardleuchte ohne Reflektoren geliefert. Glücklicherweise kann man diese einzeln kaufen und die meisten Leuchten damit nachrüsten.
Unsere Messungen haben ergeben, dass man das Licht mit einem guten Reflektor bis zu viermal besser ausnutzen kann. Bitte beachten Sie die großen Unterschiede in der Qualität der Reflektoren. Wir haben versucht, dies mit einer Fotoserie zu veranschaulichen.
Bereits im Geschäft lässt sich einfach entscheiden, welcher Reflektor am besten ist. Bringen Sie den Reflektor an einer Leuchtstofflampe an und sehen Sie sich das Spiegelbild der Röhre im Reflektor an. Wenn keine schwarzen Streifen im Spiegelbild zu sehen sind, ist der Reflektor "perfekt". Treten jedoch schwarze Streifen auf (rechtes Beispiel im Bild oben), gibt es Bereiche der Leuchtstofflampe, deren Licht der Reflektor nicht zurückwirft. Dadurch verringert sich die Lichtausnutzung. Generell gilt jedoch, dass selbst ein schlechter Reflektor (z. B. Type 1) wesentlich besser ist als gar kein Reflektor (None).
|
 |
Abstand zur Lichtquelle - Die Lichtmenge nimmt mit dem Abstand von der Lichtquelle zum Boden und von der Mitte zu den Ecken des Aquariums hin erheblich ab. Bei Tageslicht hat der Abstand keine Bedeutung, da der Abstand zur Sonne enorm ist. Der Abstand zur künstlichen Lichtquelle ist jedoch wesentlich geringer und somit entscheidend dafür, wie viel Licht die Pflanzen erhalten.
Wir haben eine einfache Lichtmessung an einer Platte vorgenommen, die den Boden eines Aquariums darstellen soll. Die Lichtquelle befindet sich 30 cm über der Platte. Wir haben in der Mitte des Aquariums gemessen, in den Ecken sowie in 10 cm Höhe (ebenfalls in der Mitte und in den Ecken). Wie der Tabelle zu entnehmen ist, ist die Lichtintensität direkt unter der Lichtquelle in der Mitte des Aquariums wesentlich höher, während sie zu den Ecken hin drastisch abnimmt. Wenn sich die Pflanze nur 10 cm näher am Licht befindet, erhält sie 40 % mehr Licht. Diesen Effekt gibt es in den Ecken wegen der schlechten Streuung des Lichts von der Lichtquelle (Leuchtstofflampe) jedoch nicht. Die Pflanzen lassen sich ganz einfach näher zum Licht bringen, indem sie auf eine Wurzel oder einen Stein gesetzt werden.
Die Pflanzen mit dem größten Lichtbedarf sollte man am besten immer mittig im Aquarium anordnen und gerne erhöht zum Licht hin platzieren. Pflanzen aus der Kategorie Easy wie Microsorum und Cryptocorynen gedeihen auch in den Randbereichen gut.
|
 |
Es gibt viele verschiedene Formen von Leuchtmitteln, die von der guten alten Glühlampe über verschiedene Formen von Leuchtstofflampen und Halogen-Metalldampflampen bis zu modernen LED-Lampen reichen.
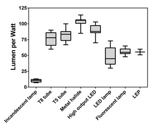
Die Abbildung zeigt, wie viel Licht die verschiedenen Arten von Lampen abgeben (|---| gibt das gesamte Intervall an, das Kästchen gibt 50 % der Messwerte an, und der kleine waagerechte Strich ist der Medianwert). Die Abbildung zeigt deutlich, dass die Glühlampe (Incandescent lamp) das Leuchtmittel mit der geringsten Lichtabgabe pro Watt ist (Lumen per Watt). TROPICA light sources_685pix.jpg
Sie zeigt auch, dass die alte T8-Leuchtstoffröhre fast genauso viel Licht pro Watt abgibt wie die modernere T5-Leuchtstoffröhre. Weshalb sind dann so viele Pflanzenaquarianer auf T5-Lampen umgestiegen, als diese vor ca. 20 Jahren aufkamen? Weil eine T5-Lampe weitaus mehr Licht pro cm Röhrenlänge abgibt als die T8-Leuchtstoffröhre. Eine 15 Watt starke T8-Lampe eignet sich für ein 54-Liter-Starterset und emittiert nur 900 Lumen, während eine T5-Lampe entsprechender Länge 24 Watt verbraucht, dafür jedoch 1600 Lumen liefert.
Außerdem zeigt die Abbildung, dass Halogen-Metalldampflampen (Metal halide) die Leuchtmittel mit der größten Lichtausbeute pro Watt sind, dicht gefolgt von den modernen Hochleistungs-LED-Lampen. Der größte Vorteil dieser beiden Leuchtmittel ist jedoch der geringe Platzbedarf, so dass man viele Einheiten in eine einzelne Leuchte einbauen und damit einen Beleuchtungskörper herstellen kann, der sehr viel Licht liefert. Vergleicht man jedoch, wie viel Lumen man pro Watt erhält, ist der Unterschied nicht so groß, dass er allein den Austausch einer vorhandenen Leuchte beispielsweise gegen eine LED-Leuchte rechtfertigen würde. Wenn ohnehin eine neue Leuchte angeschafft werden soll, lohnt es sich jedoch vielleicht, eine LED-Lösung in Erwägung zu ziehen. Mehr über LED-Beleuchtung erfahren Sie hier.
|
 |
Lichteinheiten - Lumen, Lux und Photonenflussdichte sind die meistverwendeten Einheiten für die Angabe der Lichtmenge. Wir erklären Ihnen die Bedeutung der verschiedenen Einheiten.
Lumengibt an, wie viel Licht eine Lichtquelle abgibt, währendLuxdie Lichtmenge pro Fläche bezeichnet (gleichbedeutend mit Lumen pro Quadratmeter). Lux eignet sich daher gut, um zu beschreiben, welche Lichtmenge für eine Pflanze an einem bestimmten Standort im Aquarium zur Verfügung steht. Standard-Lichtmesser geben die Lichtmenge in Lux an.
Photonenflussdichteist die wissenschaftliche Bezeichnung für die Lichtmenge pro Fläche und wird als Anzahl an Photonen pro Quadratmeter je Sekunde angegeben (µmol m-2 s-1). Oft wird die Photonenflussdichte nur im Wellenbereich von 400 bis 700 nm angegeben, da dies den Wellenlängen entspricht, die Pflanzen nutzen können (mehr dazu unter Welches Licht brauchen Pflanzen). Die Photonenflussdichte lässt sich in Lux umrechnen, indem man die Photonenzahl für eine kaltweiße Leuchtstoffröhre mit 74 multipliziert. Der Faktor variiert jedoch je nach Leuchtmittel von 33 bis 106.
Idealerweise sollte man von dem Lichtbedarf der Pflanzen in Lux oder Photonenflussdichte sprechen, da es für die Pflanzen am wichtigsten ist, wie viel Licht ihre Blätter erreicht (Lux), und nicht so sehr, wie stark die Lichtquelle ist (Lumen). Wie viel Licht den Pflanzen genau zur Verfügung steht, hängt allerdings vor allem vom Abstand zur Lichtquelle ab. Je größer dieser ist, desto weniger Licht erreicht die Pflanze (mehr dazu unter Abstand zur Lichtquelle).
|